JSRM-国家标准物质销售平台www.bzwz.net.cn/shop
全国免费客服热线:400-885-6122
产品信息
编号:NIFDC-100103 英文:Salicylic Acid Tablets
名称:水杨酸片对照品(非崩解型溶出度标准片,溶出度仪校正片) 品牌:中检院
CAS:69-72-7 分类:中国药典CP(中检院对照品)
包装 规格 库存 售价 数量
1盒(300mg*30片/盒) 供溶出度仪性能确认用(避光,阴凉处) 0 876.0 加入购物车
详细描述:(样板仅参考,具体需参照对应批次证书)
国家药品标准物质使用说明书
杨酸

批次:100103-202416(上批次:100103-202315

包装:盒(30片/盒,300mg/片)

为使同一药品的溶出度测定结果得到良好的重现性,对新安装的溶出度仪应采用溶出度标准片进行性能确认,对当前使用的溶出度仪也应定期(或在出现异常情况时)进行性能确认,溶出度标准片的溶出数据是检定溶出度仪是否良好和实验操作是否规范的依据。

水杨酸片是非崩解型溶出度标准片。

1.试验方法

1.1 调试所用溶出度仪 按照《中国药典》2020 年版四部通则 0931要求进行。

1.2 溶出介质的制备

取磷酸二氢钾 6.80g,加氢氧化钠 1.58g,用水稀释至 1000ml,即得磷酸盐缓冲液(pH=7.40±0.05)。将配制好的磷酸盐缓冲液加热至约 45℃,趁热用 0.45μm 滤膜减压过滤。减压并电磁搅拌 5 分钟(最大体积 4000ml)。即得。

或取磷酸二氢钾 6.80g,加氢氧化钠 1.58g,先用尽量少的水溶解(约 50ml),加煮沸并冷却至约 41℃的水稀释至 1000ml,即得。

也可采用其他等效的脱气方法,溶出介质中的溶解氧应不超过2.8mg/L。

1.3 对照品溶液的制备

取水杨酸对照品约 20mg,精密称定,置 250ml 量瓶中,加溶出介质适量,使水杨酸溶解并稀释至刻度,摇匀。作为对照品溶液(1)(供篮法和桨法使用);取对照品溶液(1)10.0ml,置 50ml 量瓶中,用溶出介质稀释至刻度,摇匀,作为对照品溶液(2)(供小杯法使用)。

为了加快水杨酸的溶解速度,也可先用少量乙醇溶解后再用溶出介质稀释至刻度。但是乙醇的用量应不超过总体积的 1%。

1.4 供试品溶液的制备

1.4.1 篮法和桨法

方法一

取溶出介质各 900ml,分别置各溶出杯内,注意不要将空气带入溶出介质中,不要搅拌,温度平衡后,保持在 37.0±0.5℃,调整转速为 100 转/分钟。用吹风机(冷风)、洗耳球或软刷小心除去片子表面的粉尘,选取水杨酸片 6 片称重后分别置于干燥的转篮中(篮法)或同时投入六个杯中(桨法)。自水杨酸片接触溶出介质时开始计时, 30 分钟时取样(误差应不超过 20 秒),用不大于 0.8μm 孔径的滤膜滤过,取续滤液为供试品溶液。自取样至过滤应在 30 秒内完成。

方法二

桨法也可以每片间隔 30 秒,逐片置于溶出介质中。自第一片溶出度标准片接触溶出介质时开搅拌桨,从第二片开始,在投放过程中注意避免与桨杆或桨叶发生碰撞,且溶出度标准片在溶出杯中的位置应处于溶出杯底部的中心位置。如有差异,溶出度标准片距溶出杯底部中心的距离不超过 1cm。以各溶出度标准片接触溶出介质开始计时,取样时间也相应间隔 30 秒。其余操作同方法一。

1.4.2 小杯法

方法一

取溶出介质各 250ml,分别置各溶出杯内,注意不要将空气带入溶出介质中,不要搅拌,温度平衡后,保持在 37.0±0.5℃,调整转速为 75 转/分钟。用吹风机(冷风)、吸耳球或软刷小心除去片子表面的粉尘,选取水杨酸片 6 片称重后同时置于六个溶出杯中,自溶出度标准片接触溶出介质时开始计时,经 30 分钟时取样(误差应不超 20 秒),用不大于 0.8μm 孔径的滤膜过滤,取续滤液 1ml,用溶出介质稀释至 10ml作为供试品溶液。自取样至过滤应在 30秒内完成。

方法二

也可以每片间隔 30 秒,逐片置于溶出介质中。自第一片溶出度标准片接触溶出介质时开搅拌桨,从第二片开始,在投放过程中注意避免与桨杆或桨叶发生碰撞,溶出度标准片在溶出杯中的位置应处于溶出杯底部的中心位置。如有差异,水杨酸片距溶出杯底部中心的距离应不超过 0.5cm。以各溶出度标准片接触溶出介质开始计时,取样时间也相应间隔 30 秒。其余操作同方法一。

1.5 测定法

1.5.1 数据的测定

篮法和桨法:

1)取供试品溶液及对照品溶液(1),照紫外-可见分光光度法(《中国药典》2020 年版四部通则 0401),采用 0.3cm 吸收池,在 296nm 的波长处测定吸光度,按计算公式计算每片各时间点的溶出量。

2)也可精密量取供试品溶液和对照品溶液(1)适量,定量稀释 5倍后采用 1cm 吸收池测定。

篮法和桨法溶出量测定计算公式:
每片的溶出量% = 
A:30分钟时供试品溶液的吸光度
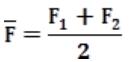
F :两份对照品的平均响应因子: 
(F1和F2的比值应在0.99~1.01范围内,否则需要检查误差来源,直到符合要求为止)
F1:第一份对照品响应因子 F1=
F2:第二份对照品响应因子 F2=
A1:第一份对照品溶液的吸光度
A2:第二份对照品溶液的吸光度
C1:第一份对照品溶液的浓度(mg/mL)
C2:第二份对照品溶液的浓度(mg/mL) 

小杯法:

取供试品溶液及对照品溶液(2),照紫外-可见分光光度法(《中国药典》2020 年版四部通则 0401),采用 1cm 吸收池,在 296nm 的波长处测定吸光度,按计算公式计算每片的溶出量。

小杯法溶出量测定计算公式:

每片的溶出量% = 
A:30分钟时供试品溶液的吸光度 
f:供试品溶液的稀释倍数
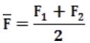
F :两份对照品的平均响应因子 :
(F1和F2的比值应在0.99~1.01范围内,否则需要检查误差来源,直到符合要求为止)

F1:第一份对照品响应因子 F1=

F2:第二份对照品响应因子 F2=
A1:第一份对照品溶液的吸光度
A2:第二份对照品溶液的吸光度
C1:第一份对照品溶液的浓度(mg/mL)
C2:第二份对照品溶液的浓度(mg/mL) 

1.5.2 数据的处理

计算各水杨酸片的溶出量及相对标准偏差(RSD)。

2.实验要求

2.1 30 分钟 6 片溶出量的相对标准偏差(RSD),篮法应不得过 5%;桨法应不得过 7%;小杯法应不得过 8%。

2.2 30 分钟时每片的溶出量均应在规定的范围内:

试验方法

 篮法

 桨法

小杯法

溶出量(%)

 2227

 2127

1724

RSD(%)

5

7

8

3. 注意事项

1)由于包装或运输过程中的碰撞可能会对片子的完整性造成影响,对于有破损的水杨酸片不能用于试验。

2)也可采用自动取样和测定装置进行,自动取样过滤器的孔径可以为 10μm

【规格】 300mg/

【批号】 100103-202416

【包装】 10 /板,3 /

【贮藏】避光,阴凉干燥处保存。

【有效期】国家药品标准物质不设具体有效期,按照规定条件保存的样品,在中检院发布停用通知前有效。

声明:

1.请按本品说明书规定使用,若作他用,用户须自行证明适用性;

2.因用户使用或储存不当所引起的损害或投诉,用户自行承担相关责任;

3.用户收到本品后应立即核对品种、数量、包装等,若出现质量、数量等不符,相关赔偿只限于标准物质本身,不涉及其他任何损失。


©copyRight 2024 北京嘉世玉禾化工技术研究院 All Rights Reserved. 京ICP备15024501号-1