国家药品标准物质使用说明书
胭脂红
Neucoccin
【类别】化学对照品
【批号】111771-202404
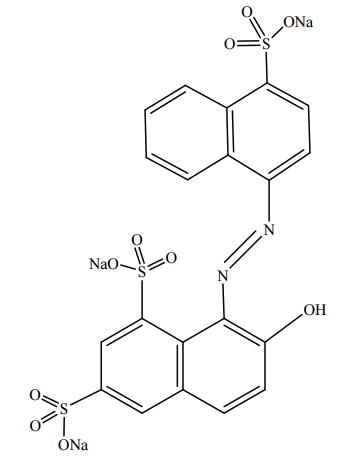
【结构式】

【分子式】C20H11N2O10S3·3Na
【分子量】604.47
【CAS 号】2611-82-7
【用途】胭脂红(Neucoccin)对照品系供国家食品药品监督管理局药品补充检验方法和检验项目批准件 五味子(批准件编号:20070014)检查项下对照用。
【使用方法】使用前不需干燥处理。
【包装】棕色安瓿
【规格】20mg/支
【贮藏】2-8℃保存。
【注意事项】本品极具引湿性,建议打开包装后立即使用。
【有效期】国家药品标准物质不设具体有效期,按照规定条件保存的样品,在中检院发布停用通知前有效。
声明:
1.请按本品说明书规定使用,若作他用,用户须自行证明适用性;
2.因用户使用或储存不当所引起的损害或投诉,用户自行承担相关责任;
3.用户收到本品后应立即核对品种、数量、包装等,若出现质量、数量等不符,相关赔偿只限于标准物质本身,不涉及其他任何损失。