国家药品标准物质使用说明书
米诺环素
Minocycline
【类别】化学对照品
【批号】130514-202404
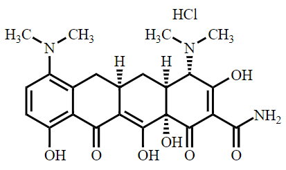
【结构式】

【分子式】C23H27N3O7•HCl
【分子量】493.94
【CAS 号】13614-98-7
【用途】供含量测定用,本品供国家药品标准等对应项下检测检验用。
【特性量值】按 C23H27N3O7计,供 HPLC 法测定,含量为 84.4%。
【使用方法】使用前不需干燥处理。
【包装】棕色直管
【规格】200mg/支
【贮藏】避光,2-8℃保存。
【注意事项】本品需平衡至室温,建议打开包装一次性使用完毕。
【有效期】国家药品标准物质不设具体有效期,按照规定条件保存的样品,在中检院发布停用通知前有效。
声明:
1.请按本品说明书规定使用,若作他用,用户须自行证明适用性;
2.因用户使用或储存不当所引起的损害或投诉,用户自行承担相关责任;
3.用户收到本品后应立即核对品种、数量、包装等,若出现质量、数量等不符,相关赔偿只限于标准物质本身,不涉及其他任何损失。