JSRM-国家标准物质销售平台www.bzwz.net.cn/shop
全国免费客服热线:400-885-6122
产品信息
编号:NIFDC-420022 英文:Esomeprazole Sodium
名称:艾司奥美拉唑钠对照品 品牌:中检院
CAS:161796-78-7 分类:中国药典CP(中检院对照品)
包装 规格 库存 售价 数量
50mg HPLC法含量测定(避光,密封,2-8℃) 0 918.0 加入购物车
详细描述:(样板仅参考,具体需参照对应批次证书)


国家药品标准物质使用说明书


艾司奥美拉唑钠

Esomeprazole Sodium

【类别】化学对照品

【批号】420022-202301

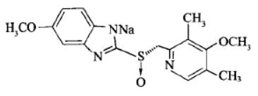
【结构式】

【分子式】C17H18N3O3SNa

【分子量】367.40

CAS 号】161796-78-7

【用途】供 HPLC 法含量测定用。

【特性量值】按 C17H18N3O3SNa 计,含量为 99.7%。

【使用方法】使用前不需干燥处理。

【包装】棕色安瓿

【规格】50mg/支

【贮藏】避光,密封,2-8℃保存。

【注意事项】本品有引湿性,建议在相对湿度 40%以下使用,打开包装一次性使用完毕。

【有效期】国家药品标准物质不设具体有效期,按照规定条件保存的样品,在中检院发布停用通知前有效。

声明:

1.请按本品说明书规定使用,若作他用,用户须自行证明适用性;

2.因用户使用或储存不当所引起的损害或投诉,用户自行承担相关责任;

3.用户收到本品后应立即核对品种、数量、包装等,若出现质量、数量等不符,相关赔偿只限于标准物质本身,不涉及其他任何损失。


©copyRight 2024 北京嘉世玉禾化工技术研究院 All Rights Reserved. 京ICP备15024501号-1