欢迎莅临标准物质销售平台-北京嘉世玉禾化工技术研究院
商城:www.bzwz.net.cn/shop 热线:400-885-6122
>> 热点领域
  @ 当前所在位置: 标准物质网 >> 产品中心 >> 标准物质 >> 药物和杂质分析 >> 中国药典CP(中检院对照品)
妥布霉素对照品
ID 产品编号 名称 英文名 CAS编号 产地 规格 询问
172484 NIFDC-130527 妥布霉素对照品 Tobramycin 32986-56-4 中检院 100mg,含量测定(2-8℃) 咨 询
详细描述:(样板仅参考,具体需参照对应批次证书)
国家药品标准物质使用说明书
妥布霉素
Tobramycin
【类别】 化学对照品
【批号】 130527-202303
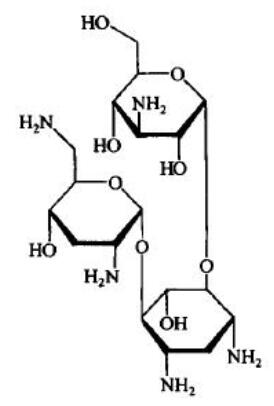
【结构式】

【分子式】C18H37N5O9

【分子量】467.52

CAS 号】32986-56-4

【用途】供含量测定用,本品供国家药品标准等对应项下检测检验用。

【特性量值】按 C18H37N5O9计,含量为 96.4%。

【使用方法】使用前不需干燥处理。

【包装】棕色安瓿

【规格】100mg/支

【贮藏】2-8℃保存。

【注意事项】本品需平衡至室温,由于极具引湿性,建议在适宜的称

量环境下打开包装,迅速称量,一次性使用完毕。

【有效期】国家药品标准物质不设具体有效期,按照规定条件保存的样品,在中检院发布停用通知前有效。

声明:

1.请按本品说明书规定使用,若作他用,用户须自行证明适用性;

2.因用户使用或储存不当所引起的损害或投诉,用户自行承担相关责任;

3.用户收到本品后应立即核对品种、数量、包装等,若出现质量、数量等不符,相关赔偿只限于标准物质本身,不涉及其他任何损失。

©copyRight 北京嘉世玉禾化工技术研究院 All Rights Reserved. 京ICP备15024501号-1
联系电话:400-885-6122 // 单位邮箱:gbwbzwz@163.com
My title