欢迎莅临标准物质销售平台-北京嘉世玉禾化工技术研究院
商城:www.bzwz.net.cn/shop 热线:400-885-6122
>> 热点领域
  @ 当前所在位置: 标准物质网 >> 产品中心 >> 标准物质 >> 药物和杂质分析 >> 中国药典CP(中检院对照品)
红霉素 Erythromycin
ID 产品编号 名称 英文名 CAS编号 产地 规格 询问
172345 NIFDC-130307 红霉素 Erythromycin 114-07-8 中检院 200mg,效价及组分测定(2-8℃) 咨 询
详细描述:(样板仅参考,具体需参照对应批次证书)
国家药品标准物质使用说明书

红霉素 

Erythromycin 

【类别】标准品 

【批号】130307-202218

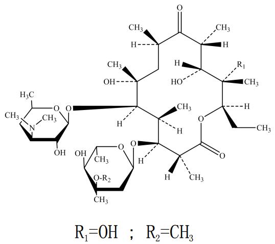
【结构式】

红霉素 分子式 分子量 R1 R2
A C37H67NO13 733.94 OH CH3
B C37H67NO12 717.94 H CH3
C C36H65NO13 719.90 OH H

【分子式】红霉素 A C37H67NO13 ;红霉素 B C37H67NO12 ;红霉素 CC36H65NO13

【分子量】红霉素 A 733.94;红霉素 B 717.94;红霉素 C 719.90

CAS 号】114-07-8

【用途】供中国药典 2020 年版红霉素品种效价测定,组分杂质检查及鉴别用。

【特性量值】每毫克相当于 943 红霉素单位。含红霉素 A(C37H67NO13) 95.9%。

【使用方法】使用前不需干燥处理。

【包装】棕色直管

【规格】200mg/支

【贮藏】2-8℃保存。

【注意事项】本品建议打开包装一次性使用完毕。

【有效期】国家药品标准物质不设具体有效期,按照规定条件保存的样品,在中检院发布停用通知前有效。

声明:

1.请按本品说明书规定使用,若作他用,用户须自行证明适用性;

2.因用户使用或储存不当所引起的损害或投诉,用户自行承担相关责任;

3.用户收到本品后应立即核对品种、数量、包装等,若出现质量、数量等不符,相关赔偿只限于标准物质本身,不涉及其他任何损失。

©copyRight 北京嘉世玉禾化工技术研究院 All Rights Reserved. 京ICP备15024501号-1
联系电话:400-885-6122 // 单位邮箱:gbwbzwz@163.com
My title