欢迎莅临标准物质销售平台-北京嘉世玉禾化工技术研究院
商城:www.bzwz.net.cn/shop 热线:400-885-6122
>> 热点领域
  @ 当前所在位置: 标准物质网 >> 产品中心 >> 标准物质 >> 药物和杂质分析 >> 中国药典CP(中检院对照品)
倍他环糊精(β环糊精、β-环糊精) Betacyclodextrin
ID 产品编号 名称 英文名 CAS编号 产地 规格 询问
170301 NIFDC-100317 倍他环糊精(β环糊精、β-环糊精) Betacyclodextrin 7585-39-9 中检院 100mg,含量测定(避光,密封,10-30℃) 咨 询
详细描述:(样板仅参考,具体需参照对应批次证书)

国家药品标准物质使用说明书

倍他环糊精

Betacyclodextrin

【类别】化学对照品

【批号】100317-202506

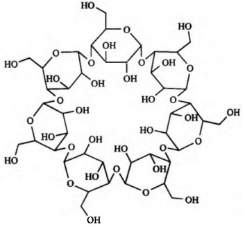
【结构式】

 

【分子式】(C6H10O5)7

【分子量】1134.99

CAS 号】7585-39-9

【用途】供《中国药典》阿尔法环糊精和伽马环糊精的有关物质检查用;供《中国药典》倍他环糊精的鉴别、有关物质检查和含量测定用。

【特性量值】按(C6H10O5)7计,含量为 88.5%。

【使用方法】使用前不需干燥处理。

【包装】棕色安瓿

【规格】100mg/支

【贮藏】避光,密封,10-30℃保存。

【注意事项】建议开封后一次性使用完毕。

【有效期】国家药品标准物质不设具体有效期,按照规定条件保存的样品,在中检院发布停用通知前有效。

声明:

1.请按本品说明书规定使用,若作他用,用户须自行证明适用性;

2.因用户使用或储存不当所引起的损害或投诉,用户自行承担相关责任;

3.用户收到本品后应立即核对品种、数量、包装等,若出现质量、数量等不符,相关赔偿只限于标准物质本身,不涉及其他任何损失。

©copyRight 北京嘉世玉禾化工技术研究院 All Rights Reserved. 京ICP备15024501号-1
联系电话:400-885-6122 // 单位邮箱:gbwbzwz@163.com
My title